销售热线:400-099-8859 技术热线:13971234137
母线保护差动回路包括母线大差回路和各段母线小差回路。
长园深瑞BP-2C母线保护装置设定,当母联开关的“分列压板”和母联TWJ开入均为0且HWJ为1时,大差比率制动系数与小差比率制动系数相同,均使用比率制动系数高值;

△ 一次系统示意图
1
大差比率制动系数高值0.5校验方法
选取支路2、支路3挂II母A,支路4挂I母,母联开关1在合位,将支路2、支路3、支路4SV接收软压板置“1”,其余SV软压板置“0”,母联1互联软压板置“1”,分列软压板置“0”,配置各间隔的SV后用测试IA相电流映射为支路2的IA相电流,继保之星-S60 手持式继电保护测试仪IB相电流映射为支路3的IA相电流,IC相电流映射为支路4的IA相电流。

△ 继保之星-S60 手持式继电保护测试仪

△ 大差校验接线示意图
试验参数设置如图所示:
|
电压/电流值 |
变量 |
步长 |
|
|
IA/A |
0.5∠0° |
||
|
IB/A |
0.5∠180° |
||
|
IC/A |
0∠0° |
√ |
0.1 |
△ 大差高值校验初始值设置
点击开始进行试验,此时保护不动作,连续增大Ic值,同时观察保护装置面板指示灯,直到“母差动作”指示灯亮,记录此时Ic的电流值,此时Ic应为0.5A。
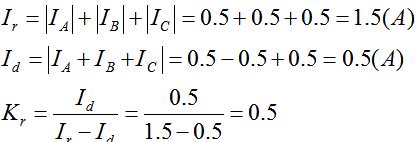
计算大差比率系数高值。

计算所得的大差高值K值0.5与目标值0.5一致,试验合格。
2
大差比率制动系数低值0.3校验方法
试验参数设置如图所示:
|
电压/电流值 |
变量 |
步长 |
|
|
IA/A |
0.5∠0° |
||
|
IB/A |
0.5∠180° |
||
|
IC/A |
0∠0° |
√ |
0.1 |
△ 大差低值校验初始值设置
点击开始进行试验,此时保护不动作,连续增大Ic值,同时观察保护装置面板指示灯,直到“母差动作”指示灯亮,记录此时Ic的电流值,此时Ic应为0.3A。
计算大差比率系数低值。

计算所得的K值0.3与目标值0.3一致,试验合格。
3
小差比率制动系数0.5校验方法

△ 小差校验接线示意图
试验参数设置界面如图6所示(本试验以母差电流定值为0.3A为例)
|
电压/电流值 |
变量 |
步长 |
|
|
IA/A |
1.0∠0° |
||
|
IB/A |
1.0∠180° |
√ |
0.1 |
|
IC/A |
0∠0° |
△ 小差校验初始值设置
点击开始进行试验,此时保护不动作,连续减小IB值,同时观察保护装置面板指示灯,直到“母差动作”指示灯亮,记录此时IB的电流值,此时IB应为0.5A。
计算小差比率系数。

计算所得的K值0.5与目标值0.5一致,试验合格。
Copyright © 2018 武汉市豪迈电力自动化技术有限责任公司 All rights Reserved.
备案号:鄂ICP备05010718号-1